- Home
- Recent CVI Research
Penn CVI Scientific Highlight
New approach methodologies: Don’t throw the baby out with the bathwater
Penn CVI Scientific Highlight
The cytoskeleton contributes to abnormal genome-lamina interactions in LMNA-deficient cardiomyocytes

- LMNA reduction disrupts peripheral chromatin organization in cardiomyocytes.
- Severing cytoskeletal-nuclear connections prevents some loss of chromatin organization in LMNA-depleted cells.
- Microtubules are a key mediator of cytoskeletal-nuclear connections and contribute to LAD organization.
Penn CVI Scientific Highlight
TIE2 links MEKK3–KLF2/4 and PI3K signaling in cerebral cavernous malformation

- TIE2 mechanistically links MEKK3–KLF2/4 signaling to PI3K pathway activation, defining a core driver of CCM pathogenesis.
- TIE2 signaling is upregulated early and sustained throughout lesion development, supporting its central role in CCM initiation and progression.
- Inhibition of TIE2 effectively prevents lesion formation, highlighting it as a targeted therapeutic strategy for CCM.
Penn CVI Scientific Highlight
Partial restoration of mitochondrial dysfunction by AAV-Ant1 protects from dilated cardiomyopathy in Ant1-/- plus mtDNA mutant mice

- Ant1-/- and Ant1-/-ND6P25L mitochondrial DNA mutation mice mimic the hypertrophic and dilated cardiomyopathies in patients, respectively
- Restoration of just 10% of Ant1 gene expression via gene therapy was sufficient to ameliorate the cardiomyopathies and molecular defects in these mice
- Thus, a modest increase in cardiac mitochondrial energetics can have profound benefits on cardiac function and is effective in treating mitochondrial cardiomyopathy in animal models
Penn CVI Scientific Highlight
Polygenic Background and Penetrance of Pathogenic Variants in Hypertrophic and Dilated Cardiomyopathies

- Individuals with a higher hypertrophic cardiomyopathy polygenic score (PGS) had greater septal thickness and ejection fraction, while a higher dilated cardiomyopathy PGS was linked to larger ventricular diameter and lower EF.
- Adding either the HCM or DCM PGS to models that already include age, sex, and monogenic variant status improved both HCM and DCM disease discrimination.
- The effect of a pathogenic HCM or DCM variant on disease likelihood was altered by the individual's PGS, indicating that common variant burden can either amplify or dampen the clinical expression of rare pathogenic variants.
Penn CVI Scientific Highlight
A genetic screen for modifiers of cohesin clustering identifies regulators of genome folding

- Developed a quantitative, high-throughput, imaging-based approach to assess cohesin aggregation, a surrogate for cohesin activity
- Performed a genetic screen and identified several enhancers and suppressors of cohesin aggregation
- Enhancers and suppressors affect genome folding, cohesin expression, cohesin loading, and physically interact with cohesin
Penn CVI Scientific Highlight
BRD4 promotes endodermal cell fate during mammalian lung development

- BRD4 regulates branching morphogenesis & epithelial-mesenchymal crosstalk in the developing lung
- BRD4 promotes airway endoderm specification
- Inhibition of BRD4 function results in deficits in human ES cell-derived endoderm differentiation, indicating an evolutionally conserved role in mammalian lung development
Penn CVI Scientific Highlight
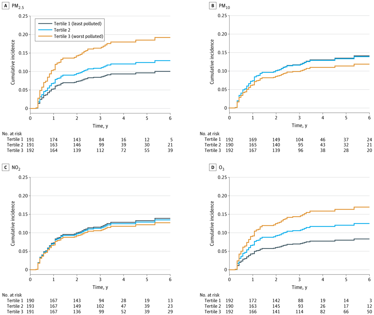
Air Pollution and Cardiac Remodeling and Function in Patients With Breast Cancer

- Higher exposure to fine particulate matter ≤2.5 micrometers (PM2.5) and ozone was linked to measurable declines in heart function during breast cancer therapy.
- Women in the highest pollution exposure groups had roughly double the risk of developing cancer therapy–related cardiac dysfunction.
- Particulate matter ≤10 micrometers (PM10) and NO₂ showed no significant associations, highlighting PM2.5 and ozone as the key environmental cardiotoxicity drivers.
Penn CVI Scientific Highlight
Changes in Cardiac Function in Patients Receiving Radiation Therapy for Lung Cancer

- Radiation therapy (RT) caused modest declines in LVEF, global longitudinal strain, circumferential strain, and Ea/Ees post RT, which largely recovered by 12 months.
- About 7% of patients developed clinically significant cardiac dysfunction, typically within the first two months of starting RT.
- Whole heart V30 was associated with greater LVEF declines, highlighting its importance in RT planning.
Penn CVI Scientific Highlight
Biomarker-Guided Cardioprotection for Patients Treated With Anthracyclines

- Using N-terminal pro–B-type natriuretic peptide (NT-proBNP) to guide neurohormonal therapy in patients undergoing anthracycline chemotherapy was feasible, well-tolerated, and did not lead to significantly more adverse events compared with usual care.
- Patients in the NT-proBNP–guided arm had slightly higher left ventricular ejection fraction (LVEF) at 3 months compared with usual care, suggesting early attenuation of cardiac dysfunction, although this difference diminished over time.
- These findings provide support for further study of an NT-proBNP–guided approach to cardioprotection for patients undergoing cancer treatment.
Penn CVI Scientific Highlight
Liver-directed base editing of ABCC6 prevents ectopic calcification in a variant-humanized mouse model of pseudoxanthoma elasticum

- Pseudoxanthoma elasticum (PXE) is an autosomal recessive connective tissue disorder caused by variants in ABCC6, which results in widespread calcification of elastic fibers
- We developed an LNP-based adenine base editing therapy to correct the recurrent human ABCC6 c.3490C>T (p.R1164X) variant in the liver of variant-humanized mice
- Variant correction in the liver was associated with improvement in ABCC6 protein localization, restoration of a blood biomarker of disease, and prevention of multisystemic connective tissue calcification
- These results provide proof-of-concept for liver-based genome editing therapies for PXE and provide insight into the liver’s role in the mechanism of multisystemic calcification
Penn CVI Scientific Highlight
Base editing strategies for in vivo correction of two highly recurrent phenylketonuria variants

- Phenylketonuria (PKU) is an inborn error of metabolism that results in the build up of phenylalanine (Phe) in the blood leading to systemic toxicity.
- In this study we identified base editing solutions to correct three of the top five pathogenic variants of PKU.
- For two variants we were able to generate mouse models which we subsequently successfully treated with our identified editing solutions.
- One of the two mouse models also exhibited elevated blood Phe levels which were ameliorated after treatment with our identified editing solution for that variant.
Penn CVI Scientific Highlight
A role for the transcriptional coregulator RIP140 in the control of muscle endurance fitness

- Mice lacking RIP140 in skeletal muscle have enhanced running performance
- RIP140 negatively controls genes involved in the response to exercise training
- Depletion of RIP140 expands the neuromuscular junction, potentially through regulating the gene Wnt16
Penn CVI Scientific Highlight
OxLDL-Targeted Chimeric Antigen Receptor T Regulatory Cells Reduce Atherosclerotic Plaque Development

- Chimeric antigen receptor (CAR) Tregs suppress inflammation and plaque formation driven by OxLDL
- Local anti-inflammatory activity without systemic immunosuppression
- Cell therapy represents a novel “living drug” modality for cardiovascular disease
Penn CVI Scientific Highlight
Shared roles of immune and stromal cells in the pathogenesis of human bronchiolitis obliterans syndrome
- Obliterative Bronchiolitis (BOS) as a result of chronic rejection or chronic graft-versus-host disease shares pathologic as well as transcriptional features
- BOS is characterized by an expanded population of CD8+ tissue resident memory T cells
- BOS is also characterized by dysfunctional stromal cells in which there are activated pro- and anti-fibrotic programs
Penn CVI Scientific Highlight
Hemodynamic forces prevent myxomatous valve disease in mice through KLF2/4 signaling
- Hemodynamic forces control KLF2/4 expression in the adult mouse heart valve
- Loss of blood flow or KLF2/4 is sufficient to drive myxomatous valve disease
- Endothelial KLF2/4 expression is decreased in human myxomatous mitral valves
Penn CVI Scientific Highlight
Common-variant and Rare-variant Genetic Architecture of Heart Failure Across the Allele-frequency Spectrum
- Heart failure is a complex trait affecting over 30 million people worldwide, influenced by both environmental and genetic factors.
- Across >2 million individuals, this study identified 176 genetic risk loci for heart failure that clustered into five modules, and confirmed roles for rare loss-of-function variants in TTN, MYBPC3, FLNC, and BAG3, highlighting diverse pathways contributing to heart failure.
- This study showed that a polygenic risk score can modify the risk of rare pathogenic variants in TTN. Further research is needed to determine if evaluating polygenic background could improve clinical genetic testing and risk stratification for heart failure patients.
Penn CVI Scientific Highlight
Targeted Quantitative Plasma Metabolomics Identifies Metabolite Signatures that Distinguish Heart Failure with Reduced and Preserved Ejection Fraction


- Plasma metabolomic and proteomic signatures are identified that are shared as well as distinguish human HFrEF and HFpEF.
- Metabolite markers for ketogenic metabolic re-programming were identified as unique signatures in the HFrEF group, possibly related to increased levels of BNP.
- Several arginine derivates were elevated in an HFrEF- and HFpEF-distinct manner.
- The results set the stage for future studies aimed at assessing selected metabolites as relevant biomarkers to guide HF phenotype-specific therapeutics.
Penn CVI Scientific Highlight
A Spatiotemporal Cell Atlas of Cardiopulmonary Progenitor Cell Allocation During Development

- Single-cell RNA sequencing identifies progressive lineage specification from a heterogenous pool of Wnt2+ cardiopulmonary mesodermal progenitor cells (CPPs).
- WNT2 plays a critical role in distal lung and capillary maturation and ventricular growth.
Penn CVI Scientific Highlight
Crossover Trial of Exogenous Ketones on Cardiometabolic Endpoints in Heart Failure with Preserved Ejection Fraction
- In participants with Heart Failure with Preserved Ejection Fraction (HFpEF), acute dosing of an exogenous ketone significantly raised plasma ketone levels, decreased systemic carbohydrate utilization, and decreased estimated left ventricular filling pressures at rest and with exercise. However, these changes did not translate into improvements in exercise capacity.
- Whether chronic dosing of ketone therapy in HFpEF is beneficial from hemodynamic, ergogenic, and quality of life perspectives remains to be seen.
- The impact of ketone utilization on regional fuel substrate utilization warrants further investigation.
Penn CVI Scientific Highlight
Radiotherapy toxicities: mechanisms, management, and future directions
- The benefits of radiotherapy for cancer patients are well established. Recent advances have improved tumor targeting while minimizing damage to healthy tissues, but side effects remain a challenge.
- Both acute and late toxic effects can occur, which can lead to considerable long-term morbidity and adversely affect patients' quality of life.
- There is a need to capitalize on the personalized and precise advancements in radiotherapy, such as FLASH radiotherapy, temporal and spatial fractionation, AI and machine learning algorithms.
Penn & CHOP CVI Scientific Highlight
Comprehensive Multiomic Analysis Reveals Metabolic Reprogramming Underlying Human Fontan-Associated Liver Disease
- Using patient liver biopsy samples, researchers at CHOP and UPenn CVI have applied untargeted metabolomics together with integration with their recently published single-cell multiomics to understand Fontan-associated liver disease (FALD).
- This comprehensive multiomics analysis reveals new insights into the pathogenesis mechanism of FALD.
Penn CVI Scientific Highlight
Two-hit mouse model of heart failure with preserved ejection fraction combining diet-induced obesity and renin-mediated hypertension

- Heart failure with preserved ejection fraction (HFpEF) is increasingly common but its pathogenesis is poorly understood. Research is hindered by lack of reproducible, preclinical models.
- Combining diet-induced obesity with modest renovascular hypertension via Renin overexpression (aka “HFD-Renin” model) recapitulates the common cardiometabolic phenotype observed in humans, and responds to SGLT2i.
- Use of this new model together with orthogonal HFpEF mouse models will aid future preclinical research efforts.
Penn CVI Scientific Highlight
Alk1/Endoglin signaling restricts vein cell size increases in response to hemodynamic cues
- Progression of an arterio-venous malformation in Alk1/Endoglin mutants starts on the venous side.
- Alk1/Endoglin signaling in vein endothelial cells keeps these cells and thereby vein diameters small.
- Vein enlargement in Alk1/Endoglin mutants secondarily leads to artery and arterial endothelial cell enlargement due to higher flow.
Penn & CHOP CVI Scientific Highlight
Phase 1 Study of AAV9.LAMP2B Gene Therapy in Danon Disease
- Breakthrough Gene Therapy: The Phase 1 study of RP-A501 gene therapy assessed safety and efficacy in addressing Danon disease, a rare X-linked cardiomyopathy caused by pathologic variants in the LAMP2 gene
- Safety Profile: While some adverse events occurred, including thrombotic microangiopathy and renal failure, all resolved without long-term sequelae.
- Encouraging Early Efficacy: Stabilization or improvement in cardiac biomarkers, structure, and function over 24-54 months, with reduced cardiac hypertrophy and biomarker levels.
- Future Directions: Encouraged by these results, a global Phase 2 trial is underway to further explore RP-A501’s potential as a transformative treatment for Danon disease.
Penn CVI Scientific Highlight
Evaluating Performance and Agreement of Coronary Heart Disease Polygenic Risk Scores
- Polygenic risk scores can be used to estimate a person’s genetic risk for coronary heart disease. Many scores are available.
- In 171,095 All of Us participants, 46 scores performed similarly at the population level but provided discordant estimates of individual risk.
- 20% of participants had at least one score placing them in both the highest and lowest 5% of risk, depending on which score was used.
Penn CVI Scientific Highlight
Centennial Collection: Hypertrophic Cardiomyopathy
- We have entered an era of accelerated development in HCM therapeutics, fueled by fundamental discovery science and partnerships among academic physicians, scientists, patients, advocacy groups, and the pharmaceutical industry to translate these discoveries to clinical practice.
Penn CVI Scientific Highlight
Quantification of nutrient fluxes during acute exercise in mice
- What goes on metabolically when you exercise?
- This study uses state-of-the-art in vivo infusions and mass spectrometry to comprehensively quantify fuel fluxes in exercising mice.
- Lots of interesting findings!
Penn CVI Scientific Highlight
Diversity and scale: Genetic architecture of 2068 traits in the VA Million Veteran Program
- Represents the largest contribution to non-European ancestry genetics in the US to date, and as such moves the field forward towards a more inclusive future – all the summary statistics are publicly available.
- The genetics of health and disease traits are largely similar across populations. Where there are differences, they are largely due to variants that are present in one population that are not present in another.
Penn CVI Scientific Highlight
Vasohibin inhibition improves myocardial relaxation in a rat model of heart failure with preserved ejection fraction
- Development and ex vivo/in vivo testing of first in class small molecule vasohibin inhibitor
Penn CVI Scientific Highlight
SGLT2 Inhibitors Act Independently of SGLT2 to Confer Benefit for HFrEF in Mice
- SGLT2 inhibitors – repurposed diabetes drugs – are now standard-of-care heart failure therapy, but how they work in heart failure is unknown.
- Genetic inhibition of SGLT2 in mice produces the same pleotropic effect of SGLT2i treatment in humans (blood sugar reduction, mild ketosis, and weight loss) without benefit in heart failure.
- SGLT2i improve heart failure in mice lacking SGLT2, proving an independent effect. The mechanism of action remains unknown.
Penn CVI Scientific Highlight
Human Cardiac Metabolism
- Everything you always wanted to know about HUMAN cardiac metabolism
- Review of past 75 years of research
Penn CVI Scientific Highlight
The burden of cardiovascular disease and risk for subsequent major adverse cardiovascular events in survivors of childhood cancer: a prospective, longitudinal analysis from the St Jude Lifetime Cohort Study
- As survivors of childhood cancer age, the growing burden of non-major cardiovascular conditions are strongly associated with future MACE.
- Early discovery, secondary prevention through lifestyle modification, low treatment threshold, and high vigilance for the progression of non-MACE conditions should be high-priority targets in survivors.
- These results highlight the need for survivor-specific interventional guidelines and trials for the treatment of subclinical cardiovascular disease.
Penn CVI Scientific Highlight
Social Determinants of Health Mediate Racial Disparities in Cardiovascular Disease in Men With Prostate Cancer
- Cardiovascular disease (CVD) is a significant cause of morbidity and mortality in men with prostate cancer; however, data on racial disparities in CVD outcomes are limited.
- These results show that black patients are significantly more likely to experience adverse CVD outcomes following systemic ADT compared with their White counterparts.
- CV outcomes were largely explained by differences in structural social determinants of health (SDOH) and specifically the socioeconomic status theme as captured by census tract SVI.